Значение правильного ответа в математике
Правильный ответ в математике является ключевым компонентом в понимании и применении концепций математики. В математике каждая задача имеет правильный ответ, который можно проверить и подтвердить. Наличие правильного ответа означает, что решение задачи достигнуто и можно двигаться дальше в изучении и применении математических понятий.
Правильный ответ в математике также имеет практическое значение за рамками школьной и университетской программы. В реальных жизненных ситуациях правильный математический ответ может быть необходим для принятия важных решений, например, в финансовой деятельности, инженерном проектировании и научных исследованиях.
Правильный ответ в математике не всегда является единственным и может быть неявно выражен в какой-то форме. Некоторые задачи могут иметь несколько правильных ответов, тогда решение может быть более сложным
Важно также понимать, что некоторые решения могут быть неправильными, даже если они соответствуют формальным правилам математики. Это может быть связано с неправильным пониманием условия задачи или неправильными применениями формул или методов решения
- Ключевые моменты:
- Правильный ответ в математике является ключевым компонентом понимания и применения математических понятий;
- Правильный ответ в математике имеет практическое значение за пределами учебных программ;
- Некоторые задачи могут иметь несколько правильных ответов или правильный ответ может быть неявен в какой-то формуле или методе решения;
- Неправильное решение может быть связано с ошибкой в понимании условия задачи или неправильным применением формул или методов решения.
Что такое неоднозначный ответ и как его понять?
Часто неоднозначные ответы могут возникать, когда вопрос сложный или имеет несколько возможных вариантов ответа. Они могут также возникать, когда информация неполна или неоднозначна, и требуется дальнейшее уточнение или изучение контекста.
Чтобы понять неоднозначный ответ, необходимо исследовать его контекст и анализировать возможные варианты толкования. Возможно, придется обратиться к источникам дополнительной информации или задать уточняющие вопросы
Важно полностью понять суть вопроса и выяснить, какая информация может быть скрыта или неясна
Иногда неоднозначный ответ может быть результатом неполного знания или понимания ответчика. В этом случае полезно задавать дополнительные вопросы и просить уточнить информацию, чтобы получить более ясное объяснение. Следует помнить, что не всегда неоднозначный ответ преднамеренный или негативный; иногда он может быть результатом неопределенности, комплексности или неясности ситуации.
Важно иметь в виду, что неоднозначный ответ может быть проблемой, особенно в тех случаях, когда требуется ясное и однозначное решение или информация. Поэтому полезно сделать все возможное, чтобы разобраться в ситуации и устранить неоднозначность, чтобы получить требуемую информацию или уверенное решение
Неоднозначность социальных и психологических ситуаций
Социальные ситуации также могут быть неоднозначными или неоднозначными (см. Конфликт ). В таких ситуациях сложно спланировать или реализовать поведение, так как каждый может интерпретировать ситуацию по-разному. Но можно научиться действовать максимально адекватно в амбивалентных ситуациях (улучшение способности действовать ).
Конфликтные ситуации могут быть более или менее сложными, т.е. ЧАС. также: Уровень сложности может быть разным. Необходимо научиться действовать в неоднозначных ситуациях. Неопределенность возникает из-за стимулов, которые имеют противоположные (противоречащие) эффекты. В таком случае человек часто не в состоянии интерпретировать или оценивать стимулы таким образом, чтобы результат был значимым и полезным для человека. Незрелый или непрофессиональный способ действовать — это бежать из ситуации, например, убежать от (или любого) конфликта. Таким образом, компетентным курсом действий было бы размышление над условиями ситуации и урегулирование конфликта.
Чтобы найти подходящее решение для таких ситуаций, ситуация должна быть сначала воспринята и оценена как можно точнее (когнитивный аспект). Пострадавшие должны уметь переносить такие ситуации, даже если они утверждают, что нашли удовлетворительное решение (эмоциональный или аффективный аспект). Поведение при побеге z. Б. не было бы подходящим решением. Кроме того, ожидается определенная степень компетентности, чтобы справиться с ситуацией (аспект действия). Необученные участники, как правило, ведут себя неадекватно ситуации.
Людям, которым приходится иметь дело с социальными ситуациями профессионально ( педагогам , учителям , консультантам , инструкторам и т. Д.), Можно рекомендовать развивать соответствующие навыки ( обучение , дальнейшее образование ), которые позволят им создавать социальные ситуации таким образом, чтобы они подходили для них. все участники становятся успешными. Обычно это означает: проектирование социальных ситуаций для запуска или поддержания социально значимых процессов обучения. Регулирование амбивалентных групповых процессов требует компетенции, которой можно научиться, например Б. активен в группах соответственно и рефлексивно.
Неоднозначные формулировки могут помочь при определенных психологических вмешательствах . Вот пример наведения транса с двумя неопределенностями диапазона:
«… как скоро вы полностью осознаете, что удобно здесь сидите, услышите звук моего голоса (,) и войдете в глубокий транс так быстро, как этого хочет ваше подсознание.»? … «?)
Условие Фано и дерево вариантов
| Так как кодировать сообщения максимально эффективно?Хороший вариант — составление кодовых слов, которые удовлетворяют условию Фано. | 
Условие Фано гласит: «ни одно кодовое слово не должно быть началом другого кодового слова».
В составленных нами в самом начале статьи кодовых словах это условие нарушалось — код буквы К (010) начинался с кода буквы У (01), а код Ы (001) — с кода Р (00). Из-за этого мы не могли быть точно уверены, где закончилось кодовое слово, а где оно продолжается.
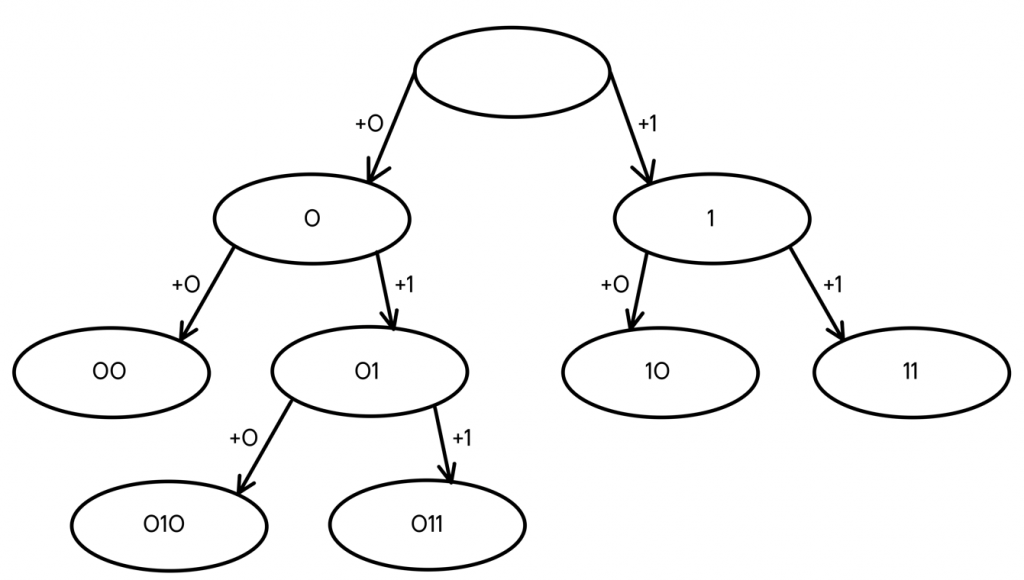
Очень просто строить код, который будет удовлетворять условию Фано, с помощью дерева вариантов — структуры, в нашем случае помогающей получить кодовые слова максимально просто и понятно. Принцип работы дерева состоит в том, что в его узлах будут находиться кодовые слова, а из узла могут выходить два ребра, соответствующие добавлению в конец кодового слова 0 и 1, таким образом заменяя одно кодовое слово на два новых, которые длиннее на один символ.
| Алгоритм построения дерева вариантов1. Начальный узел — пустой.2. К любому узлу могут быть добавлены ребра, создающие два новых узла, в каждом из которых находится новое кодовое слово на 1 символ длиннее предыдущего (с добавленным в конец символом 0 и 1, соответственно).3. Шаг 2 выполняется до тех пор, пока не будет получено необходимое количество конечных узлов (самых последних, из которых не выходит ни одного ребра). | 
Давайте попробуем таким образом получить ровно 5 кодовых слов, чтобы закодировать наши буквы К, У, Р, Л, Ы.

- Первые два кодовых слова, которые мы можем получить из ничего — 0 и 1.Чтобы продолжить построение дерева, выбираем любой из конечных узлов и также добавляем ему 0 и 1 в конец.

- Допустим, мы добавим 0 и 1 к кодовому слову 1, и вместо него теперь получим два новых — 10 и 11. Теперь кодовых слов у нас уже три — 0, 10 и 11.Все еще мало, продолжаем построение дерева.

- Мы проделали ту же операцию с кодовым словом 0, заменив его на 2 новых — 00 и 01.Кодовых слов стало 4, этого все еще мало, нужно продолжить построение дерева.
- Из конечных узлов можно выбрать любой для продолжения построения, например — 01, продолжив это кодовое слово, получаем два новых — 010 и 011.

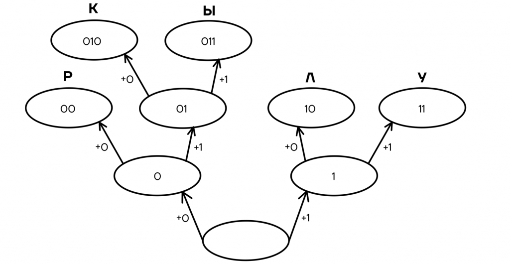
В итоге мы имеем 5 конечных узлов В них находятся кодовые слова, которые можно распределить любым удобным или необходимым способом между кодируемыми буквами. Например, так:

Такой код будет однозначно декодируемым, так как ни одно слово не заканчивается посередине другого, и мы всегда можем быть уверены, что одно кодовое слово закончилось и началось новое.

Так, код 010110010011010 мы можем однозначно декодировать, читая его слева направо:

| Существует также обратное условие Фано.Его формулировка немного отличается: «ни одно кодовое слово не должно быть окончанием другого». Такая формулировка уже допустит сосуществование кодовых слов 011 и 01, но не допустит 110 и 10, так как второе совпадает с окончанием первого. Здесь построение дерева вариантов и чтение кодов происходит в точности до наоборот — при построении мы добавляем символы не в конец, а в начало предыдущего кодового слова и читаем код справа налево. | 

И код 010110001110010 будет читаться уже в другую сторону – из конца в начало:

Неоднозначность в отношении
В данном случае отношение может быть к чему угодно: к информации, событию, определенному человеку, группе лиц и т.д. Неоднозначное отношение — это когда невозможно определиться на 100%, как воспринимать что-либо или кого-либо — положительно или отрицательно. К примеру, к порядочному, благопристойному человеку, который занимается полезной для общества деятельностью отношение, однозначно, положительное. К человеку, совершившему ряд тяжких преступлений, морально деградирующему отношение, однозначно, отрицательное. Однако не всегда бывает так. Порой человека сложно отнести к какой-то определенной категории. В нём присутствуют как явно положительные, так и явно отрицательные черты. Ясное дело, что недостатки имеются у каждого, и незначительные недочёты не могут вызывать серьёзных колебаний. Но бывает и так, что человек совершает что-то определенно полезное для окружающих, будучи, к примеру, талантливым хирургом он спасает человеческие жизни. Однако при этом он может совершать какие-либо противоправные действия, наносящие серьезный ущерб другим людям. В таком случае относиться к данному человеку мы будем, скорее всего, неоднозначно. Это касается не только людей. Отношение к событиям, например, тоже может быть спорным. Когда, с одной стороны, они приносят определенную пользу, а с другой — наносят ощутимый ущерб.
Как расшифровать неоднозначный ответ?

Когда вы получаете неоднозначный ответ от кого-то, это может быть довольно запутывающим и непонятным. Однако, существует несколько способов, которые помогут вам понять, что на самом деле имел в виду человек, давший этот ответ.
1
Обратите внимание на контекст: Попробуйте вспомнить, что именно было обсуждено перед получением этого ответа. Может быть, человек относится к предыдущему разговору или событию, и его неоднозначный ответ имеет отношение к этому контексту
2. Задавайте уточняющие вопросы: Если ответ все еще кажется непонятным, попросите человека пояснить свои слова. Задавайте конкретные вопросы, чтобы получить больше информации и понять его мысли более ясно.
3. Читайте между строк: Иногда неоднозначный ответ может содержать скрытые подтексты или намеки
Обратите внимание на интонацию голоса или невербальные сигналы, которые могут помочь вам понять, что на самом деле имеется в виду
4. Используйте логику: Опыт и логическое мышление могут помочь вам расшифровать неоднозначный ответ. Постарайтесь проанализировать информацию, которую у вас есть, и сделать выводы на основе имеющихся фактов.
5. Попросите других людей: Если вы все еще не можете понять ответ, попросите кого-то другого прокомментировать ситуацию. Иногда взгляд со стороны может пролить свет на неясное.
| Пример: | Вы: Почему ты не пришел на вечеринку? | 
| Человек: Ну, я был занят. | 
В этом примере ответ «Ну, я был занят» может быть неоднозначным. Вам может быть трудно сказать, что на самом деле произошло. В этом случае вы можете попросить человека дать более конкретное объяснение, чтобы вы могли лучше понять его мотивацию.
В целом, понимание неоднозначных ответов требует терпения и коммуникации
Важно задавать уточняющие вопросы, обращать внимание на контекст и читать между строк, чтобы получить более полное представление о том, что на самом деле имел в виду человек
Информатика
В информатике SI префиксы кило-, мега- и гига- исторически использовались в определенных контекстах для обозначения первых трех степеней 1024 (1024, 1024 и 1024) в отличие от метрической системы, в которой эти единицы однозначно означают тысячу, один миллион и один миллиард. Это использование особенно распространено с электронными запоминающими устройствами (например, DRAM ), адресуемыми непосредственно двоичным машинным регистром, где десятичная интерпретация не имеет практического смысла.
Впоследствии префиксы Ki, Mi и Gi были введены так, чтобы могли быть написаны явно, что также сделало k, M и G однозначными в текстах, соответствующих новому стандарту — это привело к новой двусмысленности в технических документах, лишенных внешнего следа двоичных префиксов (обязательно указывающих на новый стиль) относительно того, остается ли использование k, M и G неоднозначным (старый стиль) или нет (новый стиль). 1 M (где M неоднозначно 1000000 или 1 048 576) является менее неопределенным, чем инженерное значение 1.0e6 (определенное для обозначения интервала от 950 000 до 1050 000), и это, поскольку энергонезависимые запоминающие устройства стали обычно превышать емкость 1 ГБ (где двусмысленность начинает обычно влиять на вторую значащую цифру), GB и TB почти всегда означают 10 и 10 байтов.
Неравномерные коды
Пример 3
| М | А | Ы | Л | У | пробел | (3) | 
|---|---|---|---|---|---|---|
| 01 | 00 | 1011 | 100 | 1010 | 11 | 
МАМА МЫЛА ЛАМУ → 0100010011011011100001110000011010
Условие Фано. Никакое кодовое слово не совпадает с началом другого кодового слова.
префикснымиУпражнение
1000001101011010001001101101110000
Пример 4
| М | А | Ы | Л | У | пробел | (4) | 
|---|---|---|---|---|---|---|
| 10 | 00 | 1101 | 001 | 0101 | 11 | 
МАМА МЫЛА ЛАМУ → 1000100011101101001001100100100101
постфиксными
Сообщение декодируется однозначно, если для используемого кода выполняется прямое или обратное условие Фано.
- для однозначной декодируемости достаточно выполнение хотя бы одного из двух условий, или прямого, или обратного;
- могут существовать коды, для которых не выполняется ни прямое, ни обратное условие Фано, но они, тем не менее, обеспечивают однозначное декодирование.
Как понимать термин «неоднозначность»
Неоднозначно — отношения к ситуации, в которой любому понятию можно дать несколько толкований. Под понятием в данном случае подразумевается любая информация, данные, отношение, событие и т.д. Синонимами «неоднозначно» выступают такие слова: спорно, неопределенно, неясно, туманно. Несколько толкований одного и того же понятия вводит в заблуждение, не давая возможности определиться, как же все-таки воспринимать то или иное явление.
При понятии «неоднозначно» толкования имеют равнозначное значение, что не позволяет склониться в ту или иную сторону. Либо бывает так: что-то, несомненно, перевешивает, однако противопоставление, имеющее даже меньший вес, не даёт воспринимать понятие однозначно, так как для определенного толкования противоречивости в данном случае быть не должно. Чтобы было понятней, рассмотрим термин «неоднозначность» на определенных примерах.
Определение и значение понятия «Ответ ну да»
Понятие «Ответ ну да» в психологии относится к разделу коммуникативных стратегий и взаимодействия людей. Оно представляет собой способ выражения отношения к предлагаемой идее, предложению или утверждению, которое носит несколько двусмысленный и определенно неоднозначный характер.
Выражение «Ответ ну да» включает в себя слово «ну», которое служит в данном случае усилителем или модификатором, возникающим в ситуациях, когда говорящий по-разному оценивает важность, достоверность или интересность предлагаемого утверждения и не желает прямо высказывать свою точку зрения. Этот ответ можно расценивать как некий нейтральный или неопределенный комментарий, не дающий полноценного отражения говорящего в отношении высказанной идеи
В контексте коммуникации, «Ответ ну да» может использоваться для поддержания диалога и предоставления собеседнику возможности раскрыть свое мнение, или для выражения своего неодобрения, но с сохранением эстетической формы общения
Этот ответ можно расценивать как некий нейтральный или неопределенный комментарий, не дающий полноценного отражения говорящего в отношении высказанной идеи. В контексте коммуникации, «Ответ ну да» может использоваться для поддержания диалога и предоставления собеседнику возможности раскрыть свое мнение, или для выражения своего неодобрения, но с сохранением эстетической формы общения.
| Пример использования | Интерпретация | 
|---|---|
| А: «Может пойдем на прогулку?» | Б: «Ну да, если у нас будет время.» | 
| А: «Ты согласен с предложенным планом действий?» | Б: «Ну да, но я бы все-таки предпочел другой вариант.» | 
| А: «Ты считаешь эту идею реалистичной?» | Б: «Ну да, но у меня есть некоторые сомнения.» | 
«Ответ ну да» может быть интерпретирован с различной степенью согласия или несогласия, в зависимости от контекста и интонации говорящего. Он отражает неоднозначное отношение, предоставляет возможность для дальнейшего обсуждения и выяснения положения каждой из сторон.
Основные понятия и объяснения
Толкование – это объяснение значения понятий и их связи с другими понятиями. В психологии толкование используется для раскрытия смысла и значения тех или иных понятий, а также для выявления связей между ними.
Основные понятия в психологии включают в себя такие термины, как восприятие, внимание, память, мышление, эмоции, мотивация и другие. Каждое из этих понятий имеет свою специфику и может рассматриваться в различных контекстах
Восприятие – это процесс получения и интерпретации сенсорной информации из окружающего мира. Оно включает в себя восприятие зрительных, слуховых, тактильных и других сенсорных сигналов, а также их обработку и приведение к понятному виду.
Внимание – это способность сосредоточиться на определенных объектах, явлениях или процессах, игнорируя другие. Внимание позволяет выбирать информацию, с которой индивидуально взаимодействовать и обрабатывать ее более эффективно
Память – это способность человека сохранять, воспроизводить и распознавать информацию. Она делится на кратковременную и долговременную память, каждая из которых выполняет свою специфическую функцию в обработке и хранении информации.
Эмоции – это субъективные переживания, которые сопровождают определенные психические и физические реакции на различные ситуации или стимулы. Эмоции могут быть положительными (радость, восторг) или отрицательными (страх, гнев) и играют важную роль в нашей жизни и поведении.
Мотивация – это побудительная сила, которая побуждает человека к определенным действиям или стремлениям. Мотивация может быть внутренней (связанной с личными целями и интересами) или внешней (связанной с внешними стимулами и вознаграждениями).
Все эти основные понятия и их объяснения помогают психологам разобраться в сложных механизмах психической деятельности человека, а также их взаимосвязи и влиянии на наше поведение и эмоциональное состояние.
Ключевые моменты при интерпретации
Контекст ответа — один из ключевых факторов, который нужно учитывать при интерпретации неоднозначного ответа
Необходимо обращать внимание на то, какая ситуация предшествовала ответу и каким образом он был сформулирован. Это поможет понять, какую информацию автор ответа пытается донести
Язык коммуникации — еще один важный аспект при интерпретации неоднозначных ответов. Если автор ответа не говорит на вашем родном языке или использует профессиональную терминологию, то необходимо уточнить значение тех слов или выражений, которые вызывают сомнение.
Тон ответа — также может дать нам понимание о том, какой смысл автор хочет вложить в свой ответ. Например, если ответ звучит в шутливом тоне, то скорее всего автор не присваивает ответу серьезное значение, а если звучит в строгом тоне, то, возможно, автор уверенность в правильности своего ответа.
Уточнение — в случае неоднозначного ответа, вы можете задать автору вопросы для получения уточнения смысла его ответа. Это может помочь прояснить ситуацию и избежать непонимания.
Нейтральность — следует избегать принятия ответа за истину в последней инстанции
Важно сохранять нейтральную позицию и учитывать все возможные значения ответа.
Связь ответа с целью коммуникации — используйте контекст и знание автора для того, чтобы понять, как связан ответ с целью коммуникации. Определите, какие были цели и мотивации автора при написании сообщения.
Как работает иной ответ в программировании
Иной ответ – это конструкция в программировании, которая позволяет задать реакцию на все неожиданные ситуации, которые могут возникнуть во время выполнения кода. Используется для обработки исключений и ошибок.
Когда программа работает, возникают различные ситуации, которые могут привести к непредсказуемым результатам. Например, возможны ошибки ввода-вывода, деление на ноль, недостаток памяти и многое другое. Использование иного ответа позволяет программе перехватить и обработать такие исключения, чтобы код не остановился и можно было продолжить его выполнение.
Для этого в программировании используются специальные инструкции, такие как try-catch (попробовать-поймать) или if-else (если-иначе). Они позволяют программе выполнить определенный блок кода, если возникло исключение, или обработать его и продолжить выполнение дальше.
Пример использования иного ответа:
- Попробуй выполнить блок кода.
- Если в этом блоке кода возникает исключение, то переходи к следующему шагу.
- В блоке catch (поймать) обрабатывай исключение и выполняй действия, предусмотренные для данной ситуации.
- Продолжай выполнение кода сразу после блока catch.
Этот механизм позволяет программисту контролировать потенциально опасные и непредвиденные ситуации, предвосхищать их и предусматривать альтернативные варианты поведения программы.
Таким образом, иной ответ – это важный инструмент программирования, который позволяет управлять ошибками и исключениями, обеспечивает надежность и стабильность работы программы, а также улучшает ее взаимодействие с пользователем.
Практика
В жизни чаще всего используются равномерные кодировки в силу многих причин, таких как:
- Большая устойчивость.
Представим, что мы передаем слово КУРЛЫК разными вариантами, но при передаче допускаем ошибку в четвертом бите (в четвертом символе нашего кода). Посмотрим, что получится в итоге.

Выводы:
- В первом случае из-за одного неправильного бита сломалась половина символов текста, и даже поменялось количество этих символов.
- Во втором случае текст отличается от первоначального только тем символом, на который влиял сломанный бит.
Таким образом, мы видим большую устойчивость равномерного кодирования.
2. Простота расширения.
Мы обсуждали, что проблема равномерного кодирования — в большом количестве «пустых мест». Но эти пустые места могут быть полезны. Например, захочет разработчик добавить в код несколько новых эмодзи. У него как раз есть незанятые коды для этих символов. Согласитесь, это удобнее, чем переписывать всю кодировку целиком.
Неравномерные же кодировки часто применялись еще до появления компьютеров. Например, одной из самых известных неравномерных кодировок являлась азбука Морзе, применявшаяся в работе телеграфов, передаче радиосигналов и других способах передачи информации.
Также применение неравномерной кодировки есть в 4 задаче ЕГЭ и во 2 задаче ОГЭ.
Разберем задачу №4 ЕГЭ:
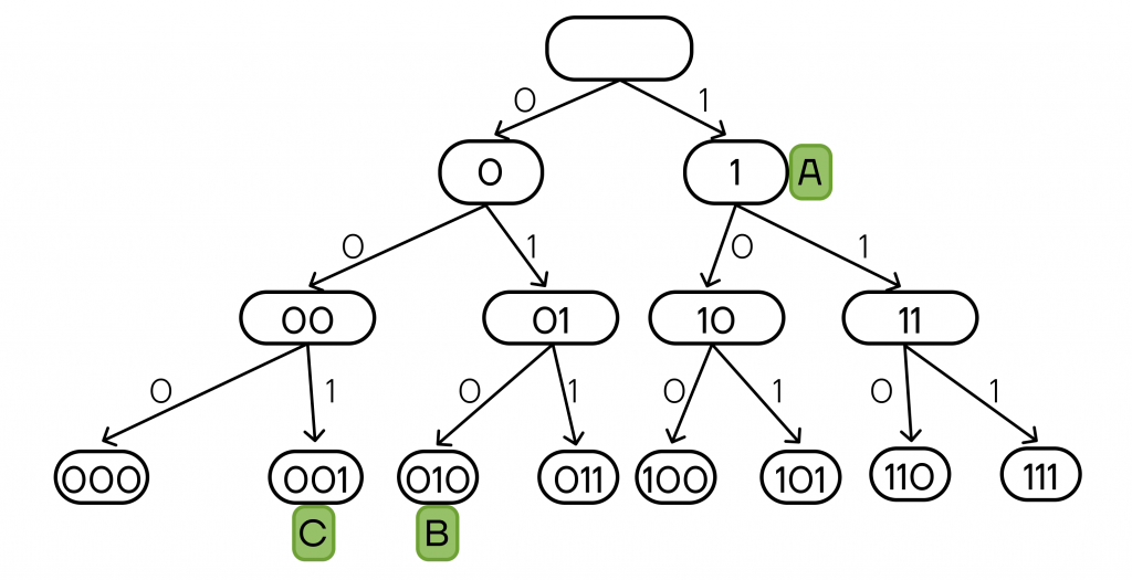
По каналу связи передаются закодированные сообщения о состоянии системы, состоящие из пяти символов: A, B, C, D, E. При передаче сообщений используется двоичный код, при этом он допускает однозначное декодирование. Для символов A, B, C используются эти кодовые слова: 1, 010 и 001 (соответственно).
В ответе нужно указать наименьшее по длине кодовое слово для буквы D. Если таких кодов несколько, то в ответе укажите наименьший по значению.
Решение.
Шаг 1. Построим дерево вариантов кодовых слов и отметим на нем уже известные коды букв:

Шаг 2. Заметим, что раз для символа A кодовое слово 1, то в дальнейшем нам не подойдут любые коды, начинающиеся с 1, так как для них и символа A не будет выполняться условие однозначного декодирования.
Шаг 3. Начнем разбирать по возрастанию кодовые слова, начинающиеся с 0:
- 0 — не подойдет, будет началом для кодовых слов 001 и 010.
- 00 — не подойдет, будет началом слова 001.
- 01 — не подойдет, будет началом слова 010.
- 000 — подойдет.
- 001 — не подойдет, буква C.
- 010 — не подойдет, буква B.
- 011 — подойдет.
Шаг 4. Получаем два недостающих кодовых слова равной длины: 000 и 011. Значит, можем использовать их для букв Е и D, при этом сохранив однозначное декодирование. Для D нужно слово, меньшее по значению, тогда верным ответом будет 000.
Ответ: 000В этой статье мы познакомились с условием Фано и научились правильно кодировать и декодировать сообщения. Но различные виды информации требуют собственных уникальных подходов. Приглашаем вас продолжить изучение темы в статьях «Кодирование изображения» и «Кодирование звука».
Определение однозначного ответа
Однозначный ответ — это ответ на вопрос, который имеет только одно возможное верное значение или решение. Такой ответ не допускает различных интерпретаций или неясностей, и его можно однозначно понять и принять на веру.
Однозначный ответ может быть представлен в различных форматах, например:
- Цифровым значением: например, ответ на вопрос «Сколько будет 2 + 2?» — однозначный ответ «4».
- Словесным выражением: например, ответ на вопрос «Как зовут президента России?» — однозначный ответ «Владимир Путин».
- Полным предложением: например, ответ на вопрос «Какая страна является самой большой по территории?» — однозначный ответ «Россия».
Однозначный ответ должен быть истинным на основании доступной информации и правил или принципов, определенных в контексте обсуждаемой проблемы или вопроса. Он не должен оставлять места для сомнений, дискуссий или интерпретаций, и должен быть подкреплен достаточным объяснением или доказательством, чтобы убедить других.
Важность однозначного ответа заключается в том, что он помогает избежать недоразумений и неопределенности. Он позволяет установить ясные параметры и ожидания в различных областях, таких как наука, образование, бизнес и повседневная жизнь
Однозначный ответ также является основой для принятия решений, решения проблем и достижения конечных результатов.
Когда уместно отвечать вопросом на вопрос
При общении с определенными людьми. Например, со знакомыми, которые не видят рамок, и нагло могут спросить личный, а иногда и весьма интимный вопрос. «А почему у вас еще детей нет, вы ведь 10 лет в браке?», «А вы когда поженитесь?» (говорится при рядом стоящем парне). И ведь ни одна мысль не проскользнет в голове, что подобные вопросы, во-первых: никого не касаются, а во-вторых: бестактны в любом контексте.
Как раз в такой ситуации и с подобными людьми отвечать вопросом на вопрос будет и уместно, и эффективно. И можно это сделать не банально, а попробовать в действии метод рефрейминга. Например, на вопрос о замужестве или детях, ответно спросить:
- «Это действительно самое главное, что вас/тебя сейчас волнует?»,
- «Это имеет такое большое значение для вашей/твоей дальнейшей жизни?»,
- «Вы думаете/ты думаешь, что это у меня единственная цель в жизни?».

Стратегии и тактики общения
Такими фразами ты переворачиваешь ситуацию, и неготовый к такому ответу собеседник будет демонстрировать неожиданное удивление. Таким образом ты покажешь, что у тебя есть твое личное пространство, куда не стоит лезть
Стоит не забывать, что тот, кто задает вопросы находится в более выгодном положении, занимает лидерскую позицию. Вторая сторона как бы начинает подстраиваться или оправдываться, стараясь интуитивно найти правильный ответ.




























